Coaches love to debate single-leg versus bilateral lifts.
Some argue single-leg work is more “functional.” Others swear by bilateral lifts for loading potential and overall strength.
This debate is not new. In fact, Dr. Andy Galpin and I published a paper on this very topic over a decade ago.
But a new 2025 meta-analysis finally put that debate to the test, and the findings are worth listening to.
Let's break it down.
The New 2025 Review
Whether you coach basketball players, field sport athletes, or general population clients, you’re probably blending both single- and double-leg work already.
But it’s fair to ask: Is one actually better for building muscle and strength?
That’s the question Kassiano and colleagues set out to answer in their new review.
The final analysis only included nine studies. That might sound small, but it was by design.
The authors followed strict inclusion criteria to make sure they were comparing true unilateral vs bilateral training, not apples and oranges.

To qualify, a study had to:
- Directly compare unilateral and bilateral training within the same experiment.
- Use isotonic resistance exercises (like squats, presses, or leg extensions) with real-world loading schemes (2–15RM).
- Report dynamic strength or muscle size outcomes, not just force or EMG.
- Run for at least three weeks of structured training.
- Be peer-reviewed and published in English.
Once those filters were applied, almost everything else got tossed.
Many studies used isometric tests, EMG activation, or single-leg comparisons without a bilateral control. So even though the broader literature on unilateral and bilateral training is large, only a handful of well-controlled, comparable studies actually met the standard.
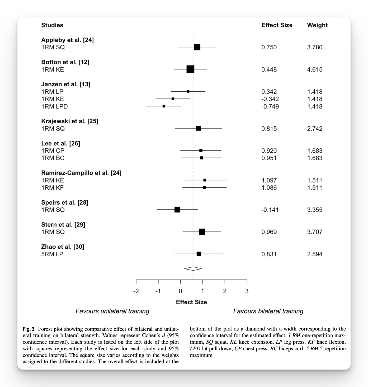
That’s how we ended up with nine total, and among those, only two even measured hypertrophy directly. The rest focused purely on strength performance.
What the Researchers Did
Across those nine studies:
- Participants were mostly young, healthy adults, ranging from recreationally trained to well-trained.
- Programs lasted 3–26 weeks, with 1–3 sessions per week using traditional hypertrophy or strength rep ranges.
- Exercises included squats, leg press, split squats, chest press, and biceps curls.
- Outcomes were measured using 1–5RM tests for strength and ultrasound or DXA for hypertrophy.
The authors ran a robust variance meta-analysis to handle multiple outcomes per study and avoid double-counting effects.
What They Found
Muscle Growth
- When volume and effort were matched, there was no meaningful difference in hypertrophy between unilateral and bilateral training.
- However, remember that only two studies measured actual muscle growth. The evidence supports “no difference,” but it’s a small sample.

Strength Gains
- Bilateral lifts (like squats and presses) improved bilateral 1–5RM more.
- Unilateral lifts (like split squats or single-leg press) improved unilateral 1–5RM more.
- In short, strength follows the rule of specificity: you get strong in the pattern you train.


Overall Trend
- For muscle growth, both work equally well when total work and intensity are similar.
- For strength, choose based on the task or KPI you’re training for.
How to Interpret It
The message is simple and grounded in real programming logic:
For hypertrophy, both unilateral and bilateral exercises are effective. Total tension and effort matter more than stance.
For strength, pick the variation that matches your outcome.
- Bilateral = total load tolerance and barbell KPIs.
- Unilateral = single-leg force, decel ability, and addressing asymmetries.
The idea that one is universally better doesn’t hold up. They’re tools, not tribes.
The Limitations
The evidence pool is small, especially for hypertrophy, and most studies were short-term and included recreational athletes.
However, this is the most methodologically clean analysis we’ve seen on the subject to date.
The Coaching Takeaway
- Use both ⮕ Hypertrophy comes from total mechanical work and effort, not which foot is on the floor.
- Train for the KPI ⮕ If you test heavy bilateral lifts, load those patterns. If you need single-leg strength and stability, program it directly.
- Stay balanced ⮕ Bilateral work saves time and hits global load targets; unilateral work builds resilience and balance.
- Don't just pick one ⮕ Use what’s appropriate for the phase, the athlete, and the goal.
The reason this meta-analysis only had nine studies is exactly why it’s valuable; it filtered out the noise and compared like for like.
And when we do that, the answer is clear: Both unilateral and bilateral training work.
I hope this helps,
Ramsey
Reference
Kassiano, W., Nunes, J. P., Costa, B., Ribeiro, A. S., Loenneke, J. P., & Cyrino, E. S. (2025). Comparison of muscle growth and dynamic strength adaptations induced by unilateral and bilateral resistance training: A systematic review and meta-analysis. Sports Medicine, 55, 923–936.