Velocity deficits are common in athletes with force-dominant force–velocity profiles. While coaches often use band-assisted jumps, what if a simple Swiss ball could stimulate high extension velocities?
This study introduces the Swiss Ball Jump (SBJ) and tests whether it meaningfully increases lower-limb extension velocity compared to traditional and assisted jump modalities.
For coaches who individualize training from a force–velocity profile, this is directly applicable.
Can the Swiss Ball Jump produce higher lower-limb extension velocities than traditional squat and countermovement jump variations, and is it reliable enough to use in monitoring?

What Did the Researchers Do?
Subjects
- 9 healthy, physically active men
- Age: 22.6 ± 1 years
- Body mass: 69.6 ± 11.9 kg
Small sample, but appropriate for a mechanical proof-of-concept design.
Exercise Conditions Tested
Five jump bariations were variations:
- SJ0 – Squat Jump at bodyweight
- SJ60 – Squat Jump at +60% bodyweight
- SJelastic – Squat Jump with ~38% bodyweight reduction via elastic bands
- CMJwa – Countermovement Jump with arm swing
- SBJ – Swiss Ball Jump
What Is the SBJ?
To perform the swiss ball jump:
- Athlete sits on a 65 cm Swiss ball
- Knees ~90°
- Performs 2–3 controlled rebounds without leaving ball
- Jumps during upward phase
The ball compresses and recoils, creating a velocity-favoring condition.
Measurements
From force plate data:
- Mean force during push-off
- Mean velocity during push-off
- Mean power
- Jump height
- Vertical push-off distance (hpo)
Push-off defined from force/velocity threshold to take-off. They also tested intra-session and inter-session reliability
What Were the Results?
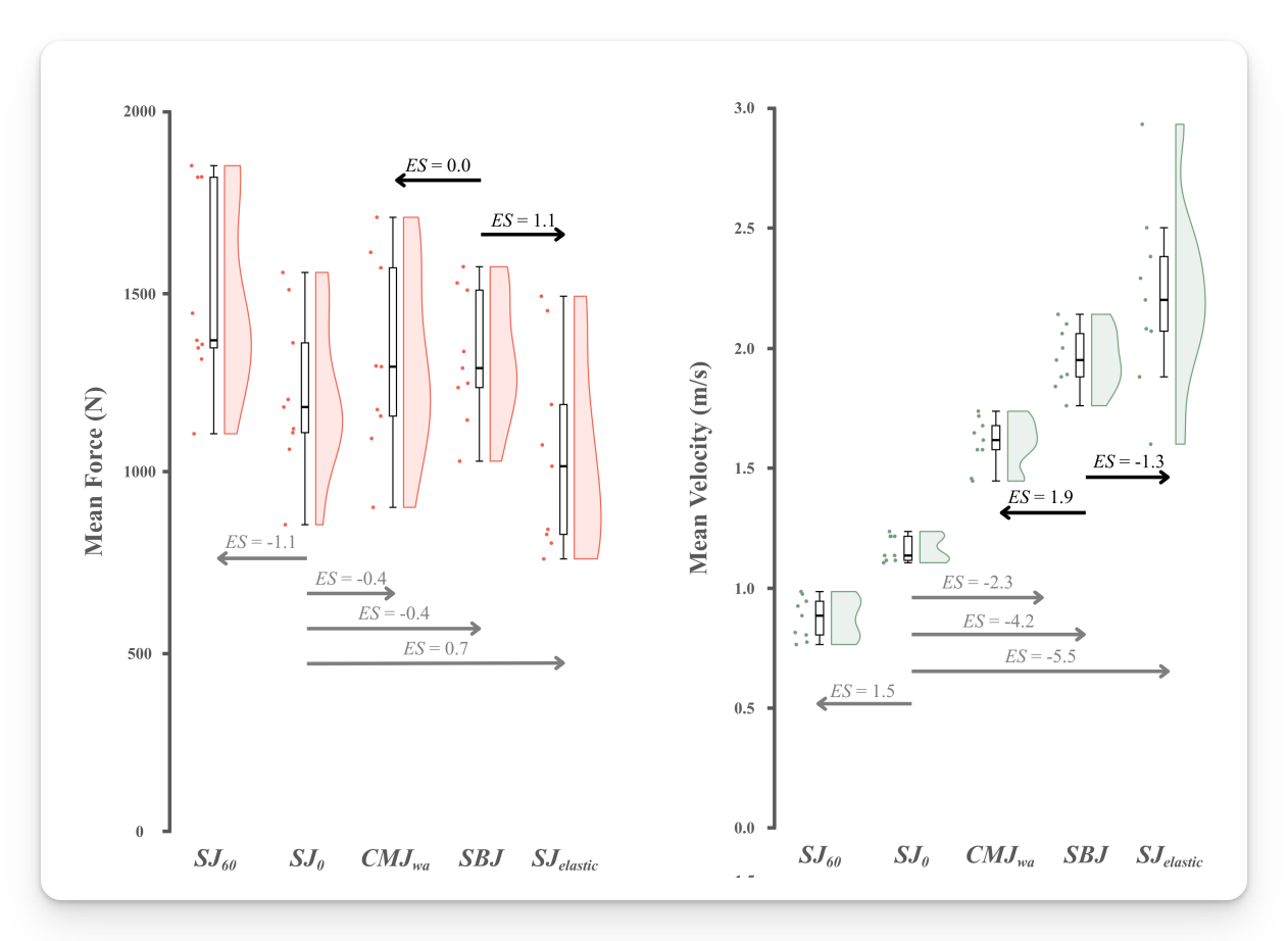
SBJ Velocity
- SBJ vs SJ0: +68% higher mean velocity (extremely large effect, ES = 4.2)
- SBJ vs CMJ with arms: +22% higher velocity (large effect, ES = 1.9)
- SBJ vs SJelastic (~38% unloading): ~9% lower velocity, but still comparable to 10–40% assisted jumps
Mean SBJ velocity: 1.97 ± 0.13 m/s, placing it in the high-velocity region of the force–velocity spectrum.

SBJ Jump Height
- SBJ jump height was similar to CMJ with arms
- Much lower than heavily assisted elastic jumps
- Higher than bodyweight SJ
This makes sense. It is velocity-oriented, not maximal displacement-oriented.

Variability
- SBJ showed much less inter-individual variability than SJelastic
- Likely because elastic assistance is highly dependent on body mass and band setup
SBJ produced more consistent, homogeneous output making it a practical and reliable option for team settings
Reliability
- Excellent reliability: ICC values >0.90 for force, velocity, and power across sessions
- Low variability: All CVs were under 5%
SBJ is stable and repeatable enough for monitoring, not just training.

What Does This Mean?
- Velocity-focused stimulus: SBJ shifts output toward high extension velocity without needing sleds, assisted devices, or complex band setups
- Greater velocity than CMJ with arms: Produces faster push-off velocities, challenging the assumption that CMJ with arms is already velocity dominant
- Highly accessible: Requires only a 65 cm Swiss ball (and a force plate if tracking), making it easy to implement in most settings
Important to acknowledge that ball size and PSI likely influence countermovement depth and energy return.
Takeaway for Coaches
- The Swiss Ball Jump produces substantially higher lower-limb extension velocities than bodyweight squat and countermovement jumps.
- It sits squarely in the high-velocity region of the force–velocity spectrum and demonstrates excellent reliability.
- For coaches using force–velocity profiling and targeting velocity deficits, this is a low-cost, field-friendly option worth testing in your system.
The Simplest and Fastest Way to Learn Jump Analysis with Force Plates
I hope this helps,
Ramsey
Reference
Vacher E, Sorgi H, Mathis T, Berger M, Kennouche D, Morin JB. (2026). Swiss Ball Jump to stimulate lower limb extension velocity: A proof of concept. Science Performance and Science Reports, 281.
