Basketball is characterized by hard stops and sharp changes of direction, with ~95 total decels and ~40 high-intensity decels per game reported at the elite level, which present unique mechanical/physiological demands.
The researchers asked whether common countermovement jump (CMJ) force–time metrics can explain or differentiate maximal horizontal deceleration performance in pro male basketball players.
Let's break it down and, as always, draw some practical applications that can improve our coaching and programming.

What Did the Researchers Do?
Acceleration-Deceleration Ability (ADA)
- 10 professional male basketball players (Europe-based; ~26 yrs; 1.95 m; 88 kg) performed jump and deceleration testing.
- The ADA test consisted of max acceleration over 10 m, then immediately decelerating to a stop
- A radar (47 Hz) behind the start captured instantaneous velocity and the best trial by peak approach velocity was analyzed.
Key Outcomes
- Average horizontal deceleration (HDEC)
- Horizontal braking impulse (HBI), absolute and relative to body mass (HBIᵣₑₗ)
- Time to stop (TTS)

CMJ Testing
- 3 bilateral CMJs on dual force plates, hands on hips
- Outcomes included eccentric/concentric force, power, velocity, impulses, jump height, RSI-mod, etc.
Statistics
- Pearson correlations to determine relationships between CMJ metrics and deceleration ability
- Median splits into high/low performers for each decel metric
- T-tests and Cohen’s d to compare CMJ profiles between groups.
What were the results?
Anthropometrics Mattered
- No significant correlations between CMJ force-time variables and any deceleration metric across the whole sample; Sample size likely a factor.
- Taller athletes had lower HDEC (harder time rapidly reducing velocity) and longer TTS.
- Greater height and mass were linked to larger HBI (more momentum to shed).
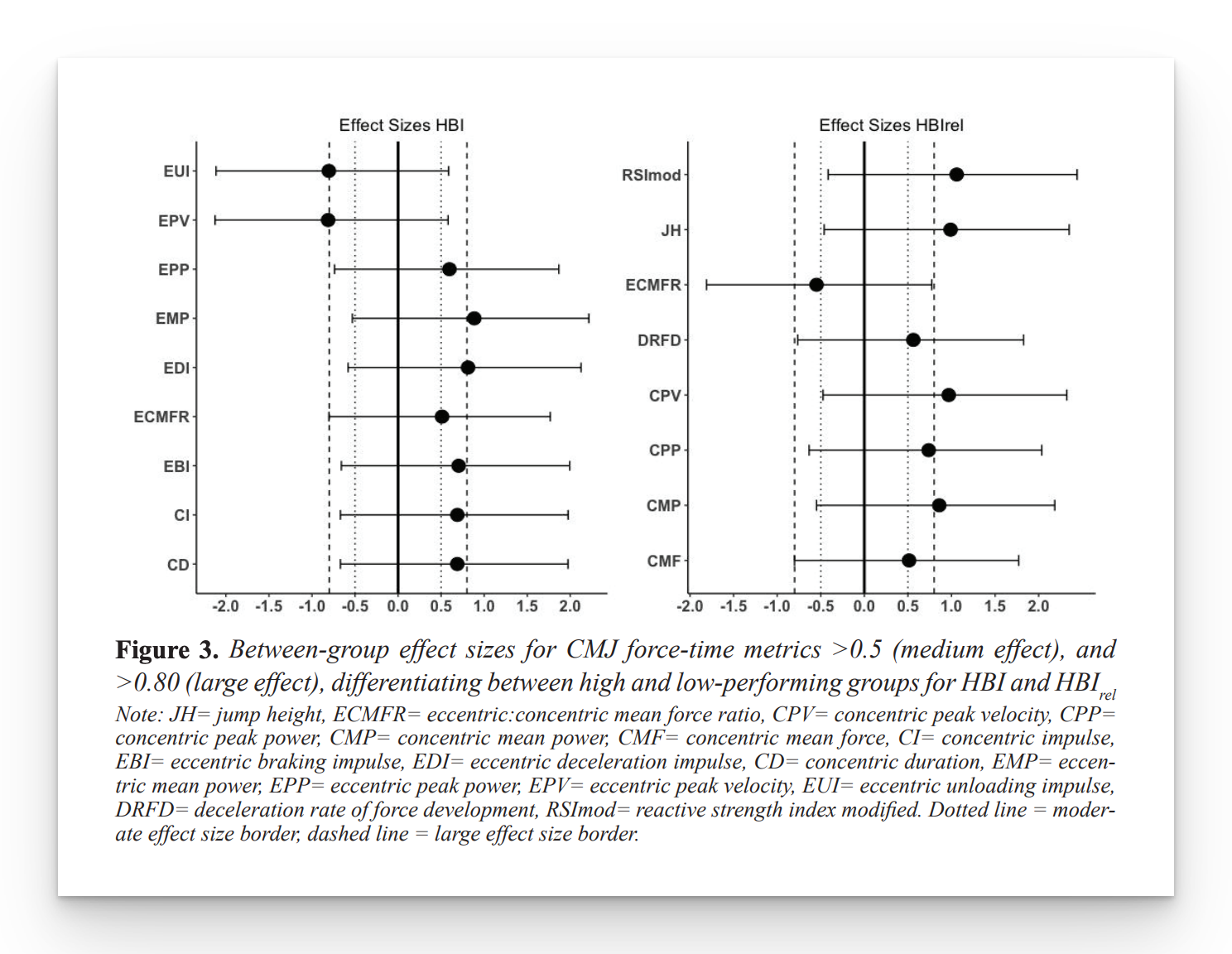
Group Comparisons (Effect Sizes)
- High HDEC (faster decel over time) tended to show greater concentric peak velocity, concentric mean power, and jump height (large ES), despite non-significance.

- High HBI (more momentum reduction) showed greater eccentric decel impulse and eccentric mean power (large ES).
- High HBIᵣₑₗ showed higher RSI-mod, jump height, concentric mean power, and concentric peak velocity (large ES).

What Does This Mean?
Stopping is Multifactorial
While global correlations were null, who excels depends on how you quantify deceleration:
- If you value rapid reduction in velocity (HDEC) or momentum relative to mass (HBIᵣₑₗ), the better performers look more concentric-power/velocity and SSC-efficient (higher RSI-mod/jump height).
- If you value absolute momentum reduction (HBI), higher performers look more eccentric-capable (ecc decel impulse/power).
Size and Effect Sizes
- Size changes the problem. Taller/heavier athletes face larger momentum and longer levers—braking loads scale up and may lengthen stopping time. Training and monitoring should reflect that.
- CMJ profiles (even without direct correlations) differentiate high vs low performers via meaningful effect size; useful for profiling and individualizing training emphases.
Limitations
- Small sample (n=10) of high-level pros limits statistical power and generalizability.
- Decel quantified from Vmax to complete stop; early vs late braking phases weren’t separated (which might reveal phase-specific links).
- Only bilateral CMJ; no drop jumps/single-leg tasks that may map differently to braking mechanics.
Coach's Takeaway
Match the Metric to the Goal
- Want quicker velocity loss (HDEC) / better HBIᵣₑₗ? Bias training toward concentric rate/power and SSC qualities (fast jumps, pogo/CMJ variants, loaded jumps, Olympic-style pulls, cluster sets). Pair with RSI-mod and jump height monitoring.
- Want bigger absolute momentum reduction (HBI)? Build eccentric capacity: tempo eccentrics, flywheel, AEL (accentuated eccentric loading), decel technique drills, and task-specific braking exposures.
- Heavier/taller players need more total eccentric braking bandwidth and graded exposures to high-load decels
Profile then Prescribe
- Use a CMJ battery to identify whether an athlete skews concentric/SSC or eccentric-limited, then steer programming (and KPI selection) accordingly.
- Even without simple correlations, the CMJ helps triage priorities.
- Consider micro-dosing decel reps across the week and progressing approach velocity/angle/footwork.
Become a Basketball Performance Coach
In this course, you’ll learn how to:
✔️ Program for the real demands of basketball
✔️ Testing the qualities for the game
✔️ Build strength, speed, and reactivity that transfers
✔️ Real-world conditioning that works
✔️ Manage in-season fatigue and development
✔️ Design long-term programs for youth to pro
✔️ Apply it all with templates, case studies, and real-world tools
And so much more.
I hope this helps,
Ramsey
Reference
Philipp NM, Cabarkapa D, Eserhaut DA, Cabarkapa DV, Fry AC (2022). Countermovement jump force-time metrics and maximal horizontal deceleration performance in professional male basketball players. Journal of Applied Sports Sciences. Access Full Text Here